傳真:
18923864027
QQ:
709211280
地址:
深圳市福田區振中路84號愛華科研樓7層
組合邏輯電路設計圖文解析組合邏輯電路的分析方法所謂組合邏輯電路的分析,就是根據給定的邏輯電路圖,求出電路的邏輯功能。組合邏輯電路分
經典NMOS開關驅動電路介紹NMOS開關驅動電路注:Q5:一個NMOS管。R25 100R 的作用:防止振蕩減少柵極充電的峰值電壓保護NMOS管的D-S及不被
數字IC,靜態功耗,動態功耗介紹功耗源功耗的本質是能量耗散。由能量守恒定律可知,能量只能從一種形式轉成另一種形式,能量的總量不變。芯片
SOC低功耗,低功耗電路設計方法介紹針對功耗來源,提出低功耗設計常用方法。降低電源電壓;減小負載電容;減少MOS管數量;減小連線電容減少
鋰電池低功耗供電電路圖介紹鋰電池低功耗供電電路:鋰電池升壓5V1 TP4056升壓5VTP4056 是一款完整的單節鋰離子電池采用恒定電流 恒定電壓
鋰電池低功耗供電電路設計介紹鋰電池低功耗供電電路:DC-DC 5V降壓3 3V1、DC to DC包括boost(升壓)、buck(降壓)、Boost buck(升 降
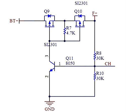
分離器件鋰電池充電電路圖解一個由分離器件搭建的鋰電池充電電路,如下圖:簡單說明一下各器件的功能及電路原理:F+為充電器的正極,BT+為電
鋰電知識,鋰電池電量檢測電路詳解鋰電池電量檢測電路鍵盤上的電量檢測電路原理圖電量檢測使用ESP32的GPI O 35引腳,若要更改請選擇GPI O號
鋰電電路,鋰電池充電電路方案介紹鋰電池充電電路一原理圖如下都是比較小的,SOT-23-6 封裝此方案的優勢是器件可以擴容,也就是可以替換成
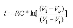
RC延時電路,RC延時電路計算詳解簡易RC延時電路RC延時原理:如圖,3 3V電源通過R1之后會給C1充電,A點的電壓會從0開始升高,對于后續電路來
RC延時,RC延時電路,延時計算介紹圖一是最簡單的RC延時電路,目的是延時點亮LED。R1給C1充電,等電容電壓到達三極管基極導通電壓大概0 7V時
仿真分享,小信號調諧放大器介紹Multisim仿真—小信號調諧放大器單調諧實驗電路:簡述通頻帶的測量方法:(1)逐點法在保持輸入信號大小不變的情