傳真:
18923864027
QQ:
709211280
地址:
深圳市福田區振中路84號愛華科研樓7層
CMOS器件的電學特性MOS器件的特性受電源電壓和環境溫度的影響,不過由于構成CMOS的p溝、n溝晶體管受影響發作變化的狀況相同,其結果在特性
MOS晶體管的工作原理 首先討論將柵極與源極短路、接地(VGS=OV)時的狀況。如圖1 9所示的MOS晶體管。這種狀態下,雖然漏極上加電壓VDS,但
基本放大電路為了放大模仿信號必需運用有源器件。MOS晶體管就是一種頻繁運用的有源器件。MOS晶體管的三個端子中有兩個分別是輸入端和輸出端
CMOS規范邏輯CMOS規范邏輯的歷史與MOS型半導體的開展歷史有著親密的關系。圖11 l示出規范邏輯IC從降生到開展的樹狀生長過程。規范邏輯IC大
場效應管的個性目前,曾經適用化的全控型晶體管大致有這么幾大類:BJT、FET、IGBT,GTO(Gatc Turn-Off Thyristor,可關斷晶閘管)、1GCT
場效應管封裝有哪種類型-場效應管封裝的有哪些板級封裝無論是狹義上的模塊,還是IPM、PIM、MCM、SIP SOP,中心的元器件都是管芯和裸芯片,
柵源放大電路源極接地放大電路是最常用的放大電路,它最大的電壓增益是gmr。(MOS晶體管的本征增益),也就是不超越幾十倍的程度。所謂本征
基本電流源電路偏置電路有兩種,即電流偏置電路和電壓偏置電路。設計CMOS模擬電路時最常用的是電流偏置電路。這是由于MOS晶體管的跨導gm和
開關電源中的MOS管今天我們在來一同學習下開關電源上面要怎樣選擇MOS管吧,看下開關電源上面選用MOS管應留意那些東西,哪些參數是MOS管在開
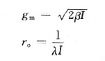
源區與基底等電位時MOS晶體管的源極與基底等電位,由于Ubs=0,所以小信號等效電路能夠簡化成圖2 4那樣。由于漏極電導的倒數就是輸出電阻ro
能夠在低電壓下工作/工作電壓范圍寬圖]0 11示出典型的CMOS規范邏輯IC的工作電源電壓范圍。與雙極型TTL(Transistor Transistor Logic)的5
晶體管與CMOS邏輯的接口CMOS電路的最末級,通常是用顯現器顯現,或者介入繼電器控制大電流,或者向遠處傳送信號等,很少沒有不借助晶體管的