傳真:
18923864027
QQ:
709211280
地址:
深圳市福田區振中路84號愛華科研樓7層
MOS管工作原理MOS管定義MOS管學名是場效應管,是金屬-氧化物-半導體型場效應管,屬于絕緣柵型。其結構示意圖:結構示意圖解析1)溝道上面圖
詳解,N溝道MOS管和P溝道MOS管先講講MOS CMOS集成電路MOS集成電路特點:制造工藝比較簡單、成品率較高、功耗低、組成的邏輯電路比較簡單,
輸入維護電路當器件加有過大的電壓或電流時,器件會遭到損傷而導致性能劣化,嚴重時會被擊穿。這時芯片上的布線或器件的分離局部將會被毀壞
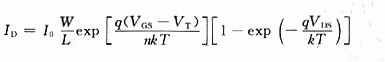
漏極電流與VGS呈指數關系至此,所考慮的MOS晶體管的工作,都是柵極—源極間電壓VGS比閾值電壓VT大時的狀況。當VGS比VT大很多時,在柵氧化膜
圖9 27示出普通的OP放大器的符號。理想的OP放大器中,輸入電壓與輸出電壓的關系是這里的Vdm是OP放大器的電壓增益。所以當Vinp=Vinn時,輸出
源極接地電路中的負載驅動上一節討論的2級結構OP放大器的輸出級是源極接地電路。現在討論這種2級結構OP放大器的輸出級驅動負載電阻的情況。
邏輯閾值電壓由于邏輯閾值電壓是式(10 1)中的-IDS與式(10 2)中的IDS相等時的電壓,所以應用這個關系能夠求得Vin:假如KN=Kp,即KN KP=1,經
普通狀況下普遍用于高端驅動的MOS,導通時需求是柵極電壓大于源極電壓。而高端驅動的MOS管導通時源極電壓與漏極電壓(VCC)相同,所以這時柵極
MOS管的高頻小信號電容從MOS管的幾何構造及工作原理能夠發現,MOS管存在著多種電容,這會影響MOS管的高頻性能。依據MOS管的幾何構造構成的
MOS場效應管電源開關電路。簡單解釋一下MOS場效應管的工作原理。MOS 場效應管也被稱為MOSFET, 既Metal Oxide Semiconductor Field E
半導體金屬(例如鋁、銅和銀)都是很好的電導體,原子周期性規則排列。原子外層電子(價電子)可以在材料中自由移動。由于原子的數量非常大
串聯什么是串聯?串聯是指兩個或兩個以上物體并行相連串接在一同,就似乎一列火車,各個高速公路串聯在一起。電子技術中的串聯主要有元器件