電阻 - 電容(RC)低通濾波器是什么以及在何處使用它們能讓你更好的掌握高端的電路設計實戰。本文將介紹了濾波的概念,并詳細說明了電阻 - 電容(RC)低通濾波器的用途和特性。
時域和頻域
當您在示波器上查看電信號時,您會看到一條線,表示電壓隨時間的變化。在任何特定時刻,信號只有一個電壓值。您在示波器上看到的是信號的時域表示。
典型的示波器跟蹤顯示非常直觀,但也有一定的限制性,因為它不直接顯示信號的頻率內容。而與時域表示相反就是頻域,其中一個時刻僅對應于一個電壓值,頻域表示(也稱為頻譜)通過識別同時存在的各種頻率分量來傳達關于信號的信息。


正弦波(頂部)和方波(底部)的時域表示。


正弦波(頂部)和方波(底部)的頻域表示。什么是濾波器?
濾波器是一個電路,其去除,或“過濾掉”的頻率分量的特定范圍。換句話說,它將信號的頻譜分離為將要通過的頻率分量和將被阻隔的頻率分量。
如果您對頻域分析沒有太多經驗,您可能仍然不確定這些頻率成分是什么以及它們如何在不能同時具有多個電壓值的信號中共存,讓我們看一個有助于澄清這個概念的簡短例子。
假設我們有一個由完美的 5 kHz 正弦波組成的音頻信號。我們知道時域中的正弦波是什么樣的,在頻域中我們只能看到 5 kHz 的頻率“尖峰”。現在讓我們假設我們激活一個 500 kHz 振蕩器,將高頻噪聲引入音頻信號。
在示波器上看到的信號仍然只是一個電壓序列,每個時刻有一個值,但信號看起來會有所不同,因為它的時域變化現在必須反映 5 kHz 正弦波和高頻噪音波動。
然而,在頻域中,正弦波和噪聲是在該一個信號中同時存在的單獨的頻率分量。正弦波和噪聲占據了信號頻域表示的不同部分(如下圖所示),這意味著我們可以通過將信號引導通過低頻并阻擋高頻的電路來濾除噪聲。


濾波器的類型
濾波器可以放在與濾波器頻率響應的一般特征相對應的廣泛類別中。如果濾波器通過低頻并阻止高頻,則稱為低通濾波器;如果它阻擋低頻并通過高頻,它就是一個高通濾波器。還有帶通濾波器,其僅通過相對窄的頻率范圍,以及帶阻濾波器,其僅阻擋相對窄的頻率范圍。


還可以根據用于實現電路的組件類型對濾波器進行分類。無源濾波器使用電阻器,電容器和電感器,這些組件不具備提供放大的能力,因此無源濾波器只能維持或減小輸入信號的幅度。另一方面,有源濾波器既可以濾波信號又可以應用增益,因為它包括有源元件,如晶體管或運算放大器。


這種有源低通濾波器基于流行的 Sallen-Key 拓撲結構。
本文將探討了無源低通濾波器的分析和設計。這些電路在各種系統和應用中發揮著重要作用。
RC 低通濾波器
為了創建無源低通濾波器,我們需要將電阻元件與電抗元件組合在一起。換句話說,我們需要一個由電阻器和電容器或電感器組成的電路。從理論上講,電阻 - 電感(RL)低通拓撲在濾波能力方面與電阻 - 電容(RC)低通拓撲相當。但實際上,電阻 - 電容方案更為常見,因此本文的其余部分將重點介紹 RC 低通濾波器。


RC 低通濾波器。
如圖所示,通過將一個電阻與信號路徑串聯,并將一個電容與負載并聯,可以產生 RC 低通響應。在圖中,負載是單個組件,但在實際電路中,它可能更復雜,例如模擬到數字轉換器,放大器或示波器的輸入級,用于測量濾波器的響應。
如果我們認識到電阻器和電容器形成與頻率相關的分壓器,我們可以直觀地分析 RC 低通拓撲的濾波動作。


重新繪制 RC 低通濾波器,使其看起來像分壓器。
當輸入信號的頻率低時,電容器的阻抗相對于電阻器的阻抗高; 因此,大部分輸入電壓在電容器上(和負載兩端,與電容器并聯)下降。當輸入頻率較高時,電容器的阻抗相對于電阻器的阻抗較低,這意味著電阻器上的電壓降低,并且較少的電壓傳輸到負載。因此,低頻通過并且高頻被阻擋。
RC 低通功能的這種定性解釋是重要的第一步,但是當我們需要實際設計電路時它并不是很有用,因為術語“高頻”和“低頻”非常模糊。工程師需要創建通過并阻止特定頻率的電路。例如,在上述音頻系統中,我們希望保留 5kHz 信號并抑制 500kHz 信號。這意味著我們需要一個濾波器,從 5 kHz 到 500 kHz 之間的傳遞過渡到阻塞。
截止頻率
濾波器不會引起顯著衰減的頻率范圍稱為通帶,濾波器確實導致顯著衰減的頻率范圍稱為阻帶。模擬濾波器,例如 RC 低通濾波器,總是從通帶逐漸過渡到阻帶。這意味著無法識別濾波器停止傳遞信號并開始阻塞信號的一個頻率。然而,工程師需要一種方便,簡潔地總結濾波器頻率響應的方法,這就是截止頻率概念發揮作用的地方。
當您查看 RC 濾波器的頻率響應圖時,您會注意到術語“截止頻率”不是很準確。信號光譜被“切割”成兩半的圖像,其中一個被保留而其中一個被丟棄,不適用,因為隨著頻率從截止點下方移動到截止值以上,衰減逐漸增加。
RC 低通濾波器的截止頻率實際上是輸入信號幅度降低 3dB 的頻率(選擇該值是因為幅度降低 3dB 對應于功率降低 50%)。因此,截止頻率也稱為 -3 dB 頻率,實際上該名稱更準確且信息量更大。術語帶寬是指濾波器通帶的寬度,在低通濾波器的情況下,帶寬等于 -3 dB 頻率(如下圖所示)。


該圖表示 RC 低通濾波器的頻率響應的一般特性。帶寬等于 -3 dB 頻率。
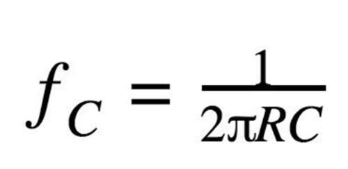
如上所述,RC 濾波器的低通行為是由電阻器的頻率無關阻抗與電容器的頻率相關阻抗之間的相互作用引起的。為了確定濾波器頻率響應的細節,我們需要在數學上分析電阻(R)和電容(C)之間的關系,我們還可以操縱這些值,以設計滿足精確規格的濾波器。RC 低通濾波器的截止頻率(f C)計算如下:


我們來看一個簡單的設計實例。電容值比電阻值更具限制性,因此我們將從常見的電容值(例如 10 nF)開始,然后我們將使用該公式來確定所需的電阻值。目標是設計一個濾波器,它將保留 5 kHz 音頻波形并抑制 500 kHz 噪聲波形。我們將嘗試 100 kHz 的截止頻率,稍后在文章中我們將更仔細地分析此濾波器對兩個頻率分量的影響。


因此,160Ω電阻與 10 nF 電容相結合,將為我們提供一個非常接近所需頻率響應的濾波器。
計算濾波器響應
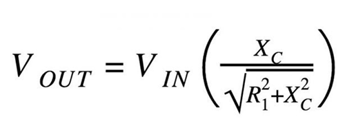
我們可以通過使用典型分壓器計算的頻率相關版本來計算低通濾波器的理論行為。電阻分壓器的輸出表示如下:


RC 濾波器使用等效結構,但是我們有一個電容器代替 R 2。首先,我們用電容器的電抗(X C)代替 R 2(在分子中)。


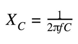
接下來,我們需要計算總阻抗的大小并將其放在分母中。因此,我們有電容器的電抗表示與電流的相反量,但與電阻不同,相反量取決于通過電容器的信號頻率。因此,我們必須計算特定頻率的電抗,我們用于此的等式如下:


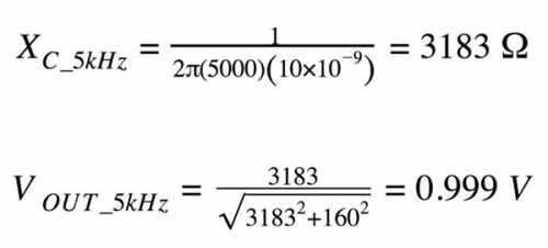
在上面的設計實例中,R≈160Ω 且 C = 10nF。我們假設 V IN 的幅度是 1 V,這樣我們就可以簡單地從計算中去掉 V IN。首先讓我們以正弦波頻率計算 V OUT 的幅度:


正弦波的幅度基本不變。這很好,因為我們的目的是在抑制噪音的同時保持正弦波。這個結果并不令人驚訝,因為我們選擇的截止頻率(100 kHz)遠高于正弦波頻率(5 kHz)。
現在讓我們看看濾波器如何成功衰減噪聲分量。


噪聲幅度僅為其原始值的約 20%。
可視化濾波器響應
評估濾波器對信號影響的最方便方法是檢查濾波器頻率響應的圖。這些圖形通常稱為波德圖,在垂直軸上具有幅度(以分貝為單位),在水平軸上具有頻率; 水平軸通常具有對數標度,使得 1Hz 和 10Hz 之間的物理距離與 10Hz 和 100Hz 之間,100Hz 和 1kHz 之間的物理距離相同等等。這種配置使我們能夠快速準確地評估濾波器在很大頻率范圍內的行為。


頻率響應圖的一個例子。
曲線上的每個點表示如果輸入信號的幅度為 1 V 且頻率等于水平軸上的相應值,則輸出信號將具有的幅度。例如,當輸入頻率為 1 MHz 時,輸出幅度(假設輸入幅度為 1 V)將為 0.1 V(因為 -20 dB 對應于十倍減少因子)。
當您花費更多時間使用濾波器電路時,此頻率響應曲線的一般形狀將變得非常熟悉。通帶中的曲線幾乎完全平坦,然后隨著輸入頻率接近截止頻率,它開始下降得更快。最終,衰減的變化率(稱為滾降)穩定在 20 dB / decade- 即,輸入頻率的每增加十倍,輸出信號的幅度降低 20 dB。
評估低通濾波器性能
如果我們仔細繪制我們在本文前面設計的濾波器的頻率響應,我們將看到 5 kHz 時的幅度響應基本上是 0 dB(即幾乎為零衰減),500 kHz 時的幅度響應約為 -14 dB(對應于 0.2 的增益)。這些值與我們在上一節中執行的計算結果一致。
由于 RC 濾波器總是從通帶到阻帶逐漸過渡,并且因為衰減永遠不會達到無窮大,我們無法設計出“完美”的濾波器 - 即對正弦波沒有影響并完全消除噪聲的濾波器。相反,我們總是需要權衡。如果我們將截止頻率移近 5 kHz,我們將有更多的噪聲衰減,但我們想要發送到揚聲器的正弦波衰減更多。如果我們將截止頻率移近 500 kHz,我們在正弦波頻率下的衰減會減少,但噪聲頻率下的衰減也會減少。
低通濾波器相移
到目前為止,我們已經討論了濾波器修改信號中各種頻率分量幅度的方式。然而,除了幅度效應之外,電抗性電路元件總是引入相移。
相位的概念是指周期內特定時刻的周期信號的值。因此,當我們說電路引起相移時,我們的意思是它會在輸入信號和輸出信號之間產生不對準:輸入和輸出信號不再在同一時刻開始和結束它們的周期。相移值(例如 45°或 90°)表示已創建多少未對準。
電路中的每個電抗元件都會引入 90°的相移,但這種相移不會同時發生。輸出信號的相位與輸出信號的幅度一樣,隨著輸入頻率的增加而逐漸變化。在 RC 低通濾波器中,我們有一個電抗元件(電容器),因此電路最終會引入 90°的相移。
與幅度響應一樣,通過檢查水平軸表示對數頻率的曲線圖,可以最容易地評估相位響應。下面的描述傳達了一般模式,然后您可以通過檢查繪圖來填寫詳細信息。
相移最初為 0°。
它逐漸增加,直到它在截止頻率達到 45°; 在這部分響應期間,變化率正在增加。
在截止頻率之后,相移繼續增加,但變化率正在降低。
隨著相移漸近接近 90°,變化率變得非常小。
實線是幅度響應,虛線是相位響應。截止頻率為 100 kHz。注意,截止頻率下的相移為 45°。


二階低通濾波器
到目前為止,我們假設 RC 低通濾波器由一個電阻器和一個電容器組成。此配置是一階濾波器。
無源濾波器的“次序”由電路中存在的電抗元件(即電容器或電感器)的數量決定。高階濾波器具有更多的無功元件,這導致更多的相移和更陡的滾降。第二個特征是增加濾波器順序的主要動機。
通過向濾波器添加一個電抗元件 - 例如,從一階到二階或二階到三階 - 我們將最大滾降增加 20 dB / 十倍。更陡峭的滾降轉換為從低衰減到高衰減的更快速轉換,并且當信號不具有將期望頻率分量與噪聲分量分離的寬頻帶時,這可以導致改善的性能。
二階濾波器通常圍繞由電感器和電容器組成的諧振電路構建(這種拓撲結構稱為“RLC”,用于電阻器 - 電感器 - 電容器)。但是,也可以創建二階 RC 濾波器。如下圖所示,我們需要做的就是級聯兩個一階 RC 濾波器。
雖然這種拓撲肯定會產生二階響應,但它沒有被廣泛使用 - 正如我們將在下一節中看到的那樣,頻率響應通常不如二階有源濾波器或二階 RLC 濾波器。


二階 RC 濾波器的頻率響應
我們可以嘗試通過根據所需的截止頻率設計一階濾波器然后將這些一階級中的兩個串聯連接來創建二階 RC 低通濾波器。這確實導致濾波器具有類似的總頻率響應,最大滾降為 40 dB / decade 而不是 20 dB / decade。
但是,如果我們更仔細地觀察響應,我們會發現 -3 dB 頻率已經降低。二階 RC 濾波器的行為不符合預期,因為兩個階段不是獨立的 - 我們不能簡單地將這兩個階段連接在一起,并將電路分析為一階低通濾波器,然后是相同的一階低通過濾。
此外,即使我們在兩級之間插入緩沖器,使得第一 RC 級和第二 RC 級可以用作獨立濾波器,原始截止頻率處的衰減將是 6dB 而不是 3dB。這恰恰是因為兩個階段獨立工作 - 第一個濾波器在截止頻率處具有 3 dB 的衰減,而第二個濾波器增加了另外 3 dB 的衰減。


二階 RC 低通濾波器的基本限制是設計人員無法通過調整濾波器的 Q 因子來微調從通帶到阻帶的轉換; 此參數表示頻率響應的阻尼程度。如果級聯兩個相同的 RC 低通濾波器,則整體傳遞函數對應于二階響應,但 Q 因子始終為 0.5。當 Q = 0.5 時,濾波器處于過阻尼的邊界,這導致在過渡區域中“下垂”的頻率響應。二階有源濾波器和二階諧振濾波器沒有這個限制; 設計人員可以控制 Q 因子,從而微調過渡區域的頻率響應。
小結
所有電信號都包含所需頻率分量和不需要的頻率分量的混合。不期望的頻率分量通常由噪聲和干擾引起,并且在某些情況下它們將對系統的性能產生負面影響。
濾波器是以不同方式對信號頻譜的不同部分作出反應的電路。低通濾波器旨在傳遞低頻分量并阻止高頻分量。
低通濾波器的截止頻率表示濾波器從低衰減轉變為顯著衰減的頻率區域。
RC 低通濾波器的輸出電壓可以通過將電路視為由(頻率無關)電阻和(頻率相關)電抗組成的分壓器來計算。
幅度(以 dB 為單位,在垂直軸上)與對數頻率(以赫茲為單位,在水平軸上)的曲線圖是檢查濾波器理論行為的方便有效的方法,你還可以使用相位與對數頻率的關系圖來確定將應用于輸入信號的相移量。
二階濾波器提供更陡峭的滾降; 當信號不能在所需頻率分量和不需要的頻率分量之間提供寬帶分離時,這種二階響應是有用的。
你可以通過構建兩個相同的一階 RC 低通濾波器,然后將一個輸出連接到另一個的輸入來創建二階 RC 低通濾波器,整體 -3 dB 頻率將低于預期。
烜芯微專業制造二極管,三極管,MOS管,橋堆等20年,工廠直銷省20%,4000家電路電器生產企業選用,專業的工程師幫您穩定好每一批產品,如果您有遇到什么需要幫助解決的,可以點擊右邊的工程師,或者點擊銷售經理給您精準的報價以及產品介紹
烜芯微專業制造二極管,三極管,MOS管,橋堆等20年,工廠直銷省20%,4000家電路電器生產企業選用,專業的工程師幫您穩定好每一批產品,如果您有遇到什么需要幫助解決的,可以點擊右邊的工程師,或者點擊銷售經理給您精準的報價以及產品介紹

